CCTeam - Home | Daniel Grün
Projekt: QGravitation |
|
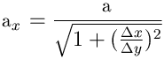
Das Programm QGravitation entstand aus meiner Faszination für die Astronomie heraus. Es simuliert nach physikalischen Modellen die Anziehungskräfte und daraus entstehenden Umlaufbahnen von Körpern. Unter Verwendung der Qt-Bibliothek ist dieses C++-Programm außer auf der von mir bevorzugten Linux-Plattform im Prinzip auch auf anderen Systemen kompilierbar. Die Einstellmöglichkeiten sind eher gering: verstellbare Gravitationskonstante, die Möglichkeit, die Teilchen am Bildschirmrand abprallen zu lassen, Zentrierung auf den schwersten Körper und Hinzufügen neuer "Planeten". Beim Zusammenprall verschmelzen zwei Körper zu einem. Jeder der Planeten wird zu jedem der anderen Planeten hin beschleunigt. Die auftretende Kraft kann nach der Newton'schen Gravitationsformel berechnet werden: In Verbindung mit ergibt sich für die Beschleunigung a Daraus sieht man z.B., dass die Beschleunigung von der Masse m1 unabhängig ist: eine Feder fällt im Vakuum gleich schnell zu Boden wie eine Bleikugel. Die Umrechnung der Beschleunigung auf x- und y-Beschleunigung, wie für das verwendete QCanvas benötigt, erfordert eine weitere Formel (Delta X und Delta Y sind die X- und Y-Abstände zwischen den jeweiligen Körpern), die nach dem Zeitpunkt der Entstehung benannte "Montag-Mittag-Formel":
Sie können sich gerne das Programm herunterladen (Quelltext incl. Linux Mandrake 9.1 executable, 38kB, .tar.gz-Archiv für Linux). Hier geht's zum Autor dieses Programms. |

